The Beer-Lambert Law is a relationship between the attenuation of light through a substance and the properties of that substance. the definitions of transmittance and absorbance of light by a substance are first introduced followed by an explanation of the Beer-Lambert Law.
SOP For Calibration of UV-Visible Spectrophotometer
The Beer–Lambert law, also known as Beer’s law, the Lambert–Beer law, or the Beer–Lambert–Bouguer law relates the attenuation of light to the properties of the material through which the light is travelling. The law is commonly applied to chemical analysis measurements and used in understanding attenuation in physical optics, for photons, neutrons, or rarefied gases.
transmittance and absorbance
Consider monochromatic light transmitted through a solution; with an incident intensity of I0 and a transmitted intensity of (image-1)
The transmittance, T, of the solution is defined as the ratio of the transmitted intensity, I, over the incident intensity, I0 and takes values between 0 and 1.

However, it is more commonly expressed as a percentage transmittance

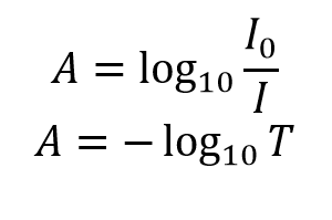
The absorbance, A, of the solution is related to the transmittance and incident and transmitted intensities through the following relations

The absorbance has a logarithmic relationship to the transmittance; with an absorbance of 0 corresponding to a transmittance of 100% and an absorbance of 1 corresponding to 10% transmittance. Additional values of transmittance and absorbance pairings are given in Table 1. A visual demonstration of the effect that the absorbance of a solution has on the attenuation light passing through it is shown Figure 2, where a 510 nm laser is passed through three solutions of Rhodamine 6G with different absorbance.
UV LIGHT EFFICIENCY TEST
Neutron
The neutron is a subatomic particle, symbol n or n0, which has a neutral (not positive or negative) charge, and a mass slightly greater than that of a proton. Protons and neutrons constitute the nuclei of atoms. Since protons and neutrons behave similarly within the nucleus, and each has a mass of approximately one atomic mass unit, they are both referred to as nucleons.
UV Visible Spectroscopy
